Упр.632 ГДЗ Бунимович Кузнецова 6 класс (Математика)

Решение #1

Изображение 632 Найдите значение выражения а + b:а) при а = -2,5, b = -7;б) при а = —1*1/2, b = -4;в) при а = -10,2, b = -0,6;г) при а = -3*1/3, b =...

Рассмотрим вариант решения задания из учебника Бунимович, Кузнецова, Минаева 6 класс, Просвещение:
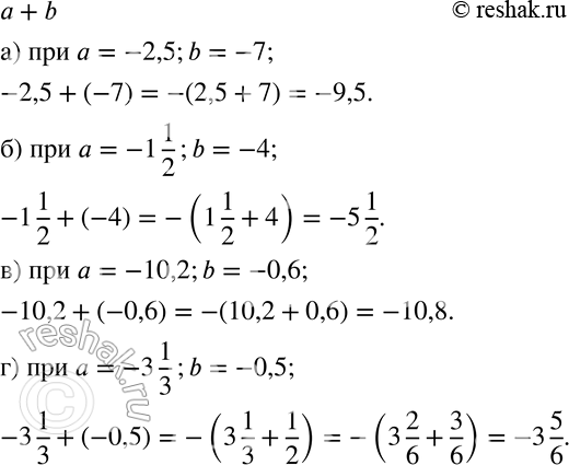
632 Найдите значение выражения а + b:
а) при а = -2,5, b = -7;
б) при а = —1*1/2, b = -4;
в) при а = -10,2, b = -0,6;
г) при а = -3*1/3, b = -0,5.
*Цитирирование задания со ссылкой на учебник производится исключительно в учебных целях для лучшего понимания разбора решения задания.
*размещая тексты в комментариях ниже, вы автоматически соглашаетесь с пользовательским соглашением