Упр.620 ГДЗ Колягин Ткачёва 8 класс (Алгебра)
Решение #1

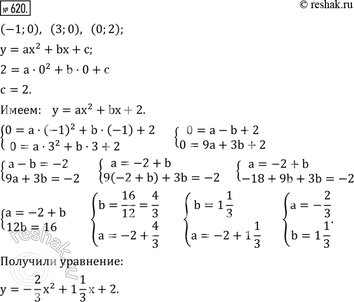
Рассмотрим вариант решения задания из учебника Колягин, Ткачёва, Фёдорова 8 класс, Просвещение:
620. Записать уравнение параболы, пересекающей ось абсцисс в точках x=-1 и x=3, а ось ординат в точке y=2.
*размещая тексты в комментариях ниже, вы автоматически соглашаетесь с пользовательским соглашением