Упр.601 ГДЗ Никольский Потапов 6 класс (Математика)
Решение #1

Рассмотрим вариант решения задания из учебника Никольский, Потапов, Решетников 6 класс, Просвещение:
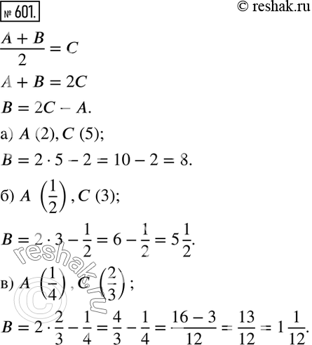
601. Найдите координату точки B по координатам точки A и точки C - середины отрезка AB, если:
а) A (2),C (5);
б) A (1/2),C (3);
в) A (1/4),C (2/3).
*размещая тексты в комментариях ниже, вы автоматически соглашаетесь с пользовательским соглашением