Упр.574 ГДЗ Колягин Ткачёва 9 класс (Алгебра)
Решение #1

Рассмотрим вариант решения задания из учебника Колягин, Ткачёва, Фёдорова 9 класс, Просвещение:
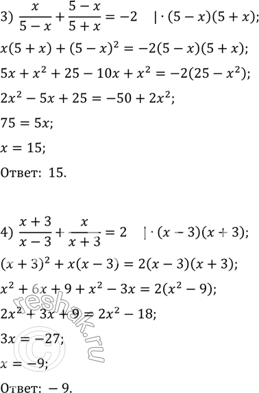
574. Решить уравнение:
1) 4/(3(x+2))=9/(8x+11); 2) 1/(3(x-1))=3/(2(x+6));
2) x/(5-x)+(5-x)/(5+x)=-2; 4) (x+3)/(x-3)+x/(x+3)=2.
*размещая тексты в комментариях ниже, вы автоматически соглашаетесь с пользовательским соглашением