Упр.552 ГДЗ Никольский Потапов 9 класс (Алгебра)

Решение #1

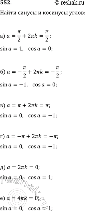
Изображение 552. Найдите синусы и косинусы следующих углов (k — любое целое число):а)  sin(пи/2+2пиk)б)  sin(-пи/2+2пиk)в)  sin(пи+2пиk)г)  sin (-пи+2пиk)д)  sin ...
Дополнительное изображение

Решение #2

Изображение 552. Найдите синусы и косинусы следующих углов (k — любое целое число):а)  sin(пи/2+2пиk)б)  sin(-пи/2+2пиk)в)  sin(пи+2пиk)г)  sin (-пи+2пиk)д)  sin ...

Рассмотрим вариант решения задания из учебника Никольский, Потапов 9 класс, Просвещение:
552. Найдите синусы и косинусы следующих углов (k — любое целое число):
а) sin(пи/2+2пиk)
б) sin(-пи/2+2пиk)
в) sin(пи+2пиk)
г) sin (-пи+2пиk)
д) sin (2пиk)
е) sin (4пиk)
ж) sin(пиk)
з) sin (-пиk)
и) sin (пи/2)
к) sin (-пи/2)
л) sin (пи/2+пиk)
м) sin (-пи/2+пиk)
*Цитирирование задания со ссылкой на учебник производится исключительно в учебных целях для лучшего понимания разбора решения задания.
*размещая тексты в комментариях ниже, вы автоматически соглашаетесь с пользовательским соглашением