Упр.533 ГДЗ Никольский Потапов 9 класс (Алгебра)

Решение #1

Изображение 533. Выразите в градусах величину угла, радианная мера которого равна:а) 2пи, пи, пи/2, 3пи/2,0.б) пи/4, 3пи/4, 5пи/4, 7пи/4.в) пи/3, 2пи/3, 4пи/3, 5пи/3.г)...
Дополнительное изображение

Решение #2

Изображение 533. Выразите в градусах величину угла, радианная мера которого равна:а) 2пи, пи, пи/2, 3пи/2,0.б) пи/4, 3пи/4, 5пи/4, 7пи/4.в) пи/3, 2пи/3, 4пи/3, 5пи/3.г)...
Дополнительное изображение

Рассмотрим вариант решения задания из учебника Никольский, Потапов 9 класс, Просвещение:
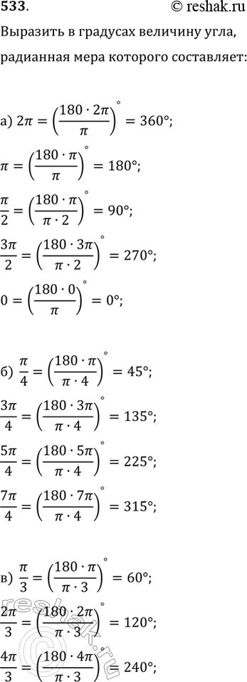
533. Выразите в градусах величину угла, радианная мера которого равна:
а) 2пи, пи, пи/2, 3пи/2,0.
б) пи/4, 3пи/4, 5пи/4, 7пи/4.
в) пи/3, 2пи/3, 4пи/3, 5пи/3.
г) пи/6, 5пи/6, 7пи/6, 11пи/6.
д) -пи/2, -пи/12,-3пи/4, -5пи/6.
е) -пи/4, -3пи/5, -пи/6, -7пи/6.
*Цитирирование задания со ссылкой на учебник производится исключительно в учебных целях для лучшего понимания разбора решения задания.
*размещая тексты в комментариях ниже, вы автоматически соглашаетесь с пользовательским соглашением