Упр.528 ГДЗ Мерзляк 8 класс (Алгебра)
Решение #1
Решение #2
Решение #3

Рассмотрим вариант решения задания из учебника Мерзляк, Полонская, Якир 8 класс, Вентана-Граф:
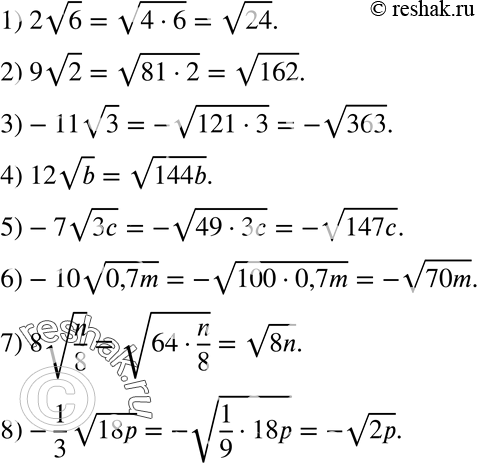
528. Внесите множитель под знак корня:
1) 2 корень 6;
2) 9 корень 2;
3) -11 корень 3;
4) 12 корень b;
5) -7 корень 3c;
6) -10 корень 0,7m;
7) 8 корень n/8;
8) -1/3 корень 18p.
*размещая тексты в комментариях ниже, вы автоматически соглашаетесь с пользовательским соглашением