Упр.499 ГДЗ Никольский Потапов 9 класс (Алгебра)

Решение #1

Изображение 499.Обратите в обыкновенную дробь бесконечную периодическую десятичную дробь:а) 0,(3);	б) 0,(8);	в) 0,(5);г) 0,(13);	д) 0,(27);	е) 0,(45);ж) 0,(123);	з)...
Дополнительное изображение
Дополнительное изображение
Дополнительное изображение

Решение #2

Изображение 499.Обратите в обыкновенную дробь бесконечную периодическую десятичную дробь:а) 0,(3);	б) 0,(8);	в) 0,(5);г) 0,(13);	д) 0,(27);	е) 0,(45);ж) 0,(123);	з)...
Дополнительное изображение

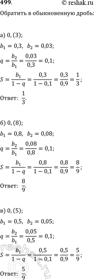
Рассмотрим вариант решения задания из учебника Никольский, Потапов 9 класс, Просвещение:
499.
Обратите в обыкновенную дробь бесконечную периодическую десятичную дробь:
а) 0,(3); б) 0,(8); в) 0,(5);
г) 0,(13); д) 0,(27); е) 0,(45);
ж) 0,(123); з) 0,(456); и) 0,(1999);
к) 0,5(7); л) 0,23(8); м) 0,2(38).
*Цитирирование задания со ссылкой на учебник производится исключительно в учебных целях для лучшего понимания разбора решения задания.
*размещая тексты в комментариях ниже, вы автоматически соглашаетесь с пользовательским соглашением