Упр.471 ГДЗ Колягин Ткачёва 7 класс (Алгебра)
Решение #1

Рассмотрим вариант решения задания из учебника Колягин, Ткачёва, Фёдорова 7 класс, Просвещение:
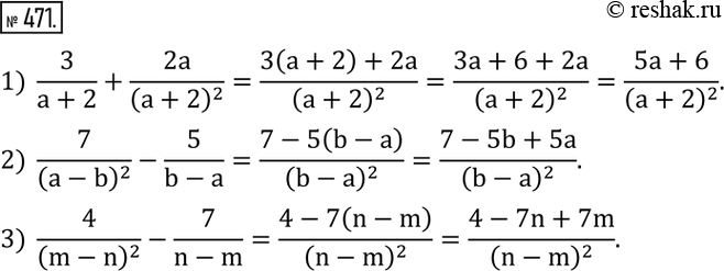
471. Выполнить действия:
1) 3/(a+2)+2a/(a+2)^2 ;
2) 7/(a-b)^2 -5/(b-a);
3) 4/(m-n)^2 -7/(n-m).
*размещая тексты в комментариях ниже, вы автоматически соглашаетесь с пользовательским соглашением