Упр.461 ГДЗ Колягин Ткачёва 8 класс (Алгебра)
Решение #1

Рассмотрим вариант решения задания из учебника Колягин, Ткачёва, Фёдорова 8 класс, Просвещение:
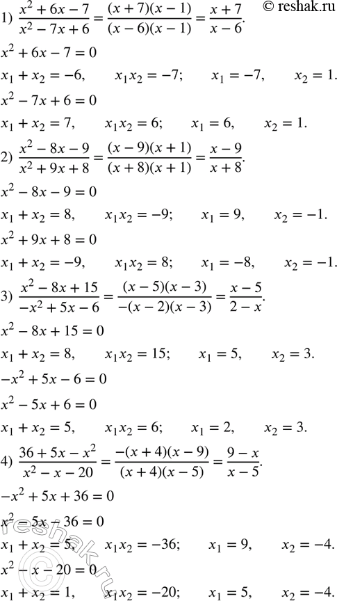
461. Сократить дробь:
1) (x^2+6x-7)/(x^2-7x+6);
2) (x^2-8x-9)/(x^2+9x+8);
3) (x^2-8x+15)/(-x^2+5x-6);
4) (36+5x-x^2)/(x^2-x-20).
*размещая тексты в комментариях ниже, вы автоматически соглашаетесь с пользовательским соглашением