Упр.420 ГДЗ Макарычев Миндюк 9 класс (Углубленный) (Алгебра)
Решение #1

Рассмотрим вариант решения задания из учебника Макарычев, Миндюк, Нешков 9 класс, Просвещение:
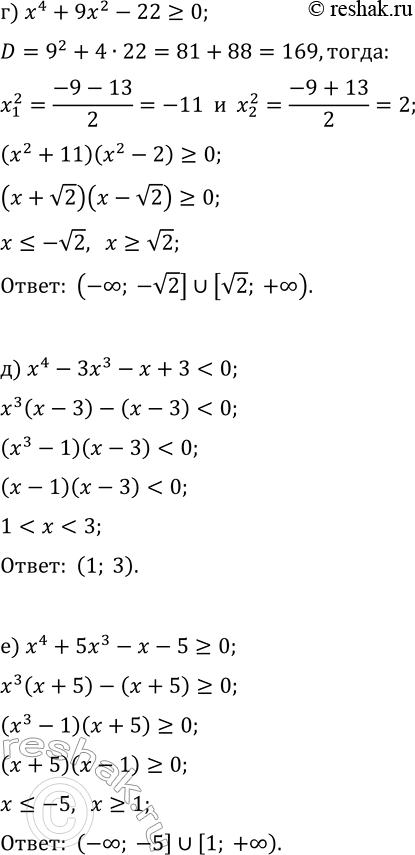
420. Решите неравенство:
а) x^4-34x^2-72<0; г) x^4+9x^2-22?0;
б) x^4-2x^2-15?0; д) x^4-3x^3-x+3<0;
в) x^4+x^2-30<0; е) x^4+5x^3-x-5?0.
*размещая тексты в комментариях ниже, вы автоматически соглашаетесь с пользовательским соглашением