Упр.42 ГДЗ Дорофеев Суворова 9 класс (Алгебра)
Решение #1

Рассмотрим вариант решения задания из учебника Дорофеев, Суворова, Бунимович 9 класс, Просвещение:
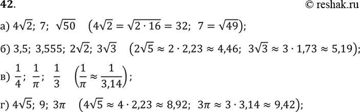
42. Расположите в порядке возрастания числа.
а) 7; v50; 4v2;
б) 2v5; 3v3; 3,5; 3,555...;
в) 1/3; 1/4; 1/?;
г) 9; 4v5; 3?.
*размещая тексты в комментариях ниже, вы автоматически соглашаетесь с пользовательским соглашением