Упр.403 ГДЗ Дорофеев Суворова 8 класс (Алгебра)
Решение #1

Рассмотрим вариант решения задания из учебника Дорофеев, Суворова, Бунимович 8 класс, Просвещение:
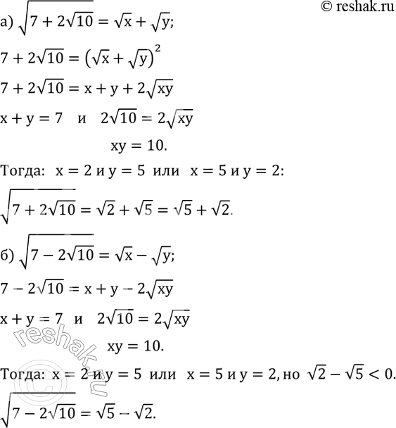
403. Упростите выражение:
а) v(7+2v10) ;
б) v(7-2v10) ;
в) v(8+2v15) ;
г) v(8-2v15) .
*размещая тексты в комментариях ниже, вы автоматически соглашаетесь с пользовательским соглашением