Упр.402 ГДЗ Мерзляк 8 класс (Алгебра)
Решение #1
Решение #2
Решение #3

Рассмотрим вариант решения задания из учебника Мерзляк, Полонская, Якир 8 класс, Вентана-Граф:
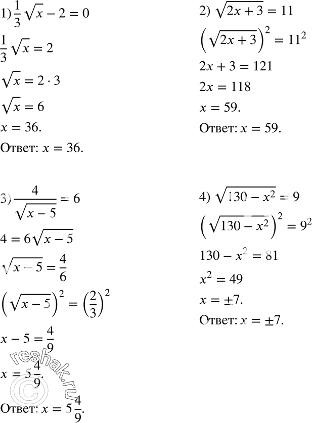
402. Решите уравнение:
1) 1/3 * корень x - 2=0;
2) корень (2x+3) = 11;
3) 4 / корень (x-5) = 6;
4) корень (130-x2) = 9.
*размещая тексты в комментариях ниже, вы автоматически соглашаетесь с пользовательским соглашением