Упр.401 ГДЗ Никольский Потапов 9 класс (Алгебра)

Решение #1

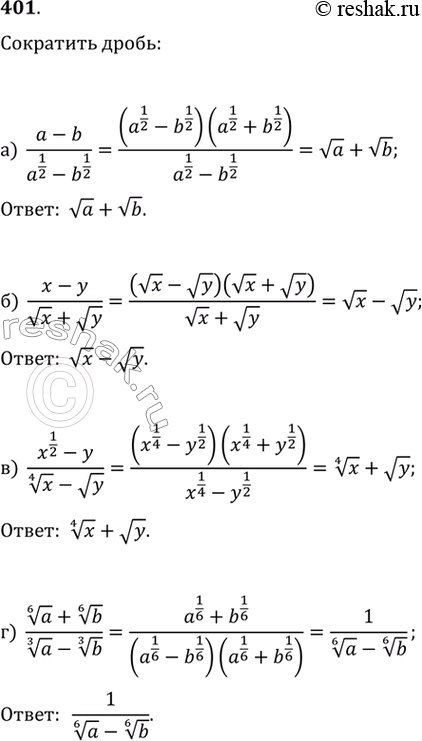
Изображение 401.а) (a-b)/(a^(1/2)-b^(1/2) )б)  (x-y)/(vx+vy)в)  (x^(1/2)-y)/(корень четвертой степени из x-vy)г) ...

Решение #2

Изображение 401.а) (a-b)/(a^(1/2)-b^(1/2) )б)  (x-y)/(vx+vy)в)  (x^(1/2)-y)/(корень четвертой степени из x-vy)г) ...

Рассмотрим вариант решения задания из учебника Никольский, Потапов 9 класс, Просвещение:
401.
а) (a-b)/(a^(1/2)-b^(1/2) )
б) (x-y)/(vx+vy)
в) (x^(1/2)-y)/(корень четвертой степени из x-vy)
г) (v(6&a)+v(6&b))/(va-vb)
*Цитирирование задания со ссылкой на учебник производится исключительно в учебных целях для лучшего понимания разбора решения задания.
*размещая тексты в комментариях ниже, вы автоматически соглашаетесь с пользовательским соглашением