Упр.398 ГДЗ Дорофеев Суворова 8 класс (Алгебра)
Решение #1

Рассмотрим вариант решения задания из учебника Дорофеев, Суворова, Бунимович 8 класс, Просвещение:
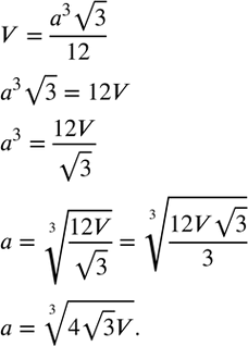
398. Объем правильного тетраэдра (треугольной пирамиды, все ребра которой равны) вычисляется по формуле V=(a^3 v3)/12, где a - длина ребра тетраэдра. Выразите из этой формулы длину ребра a.
*размещая тексты в комментариях ниже, вы автоматически соглашаетесь с пользовательским соглашением