Упр.388 ГДЗ Колягин Ткачёва 8 класс (Алгебра)
Решение #1

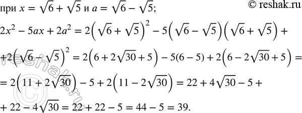
Рассмотрим вариант решения задания из учебника Колягин, Ткачёва, Фёдорова 8 класс, Просвещение:
388. Найти значение выражения 2x^2-5ax+2a^2 при x=v6+v5 и a=v6-v5.
*размещая тексты в комментариях ниже, вы автоматически соглашаетесь с пользовательским соглашением