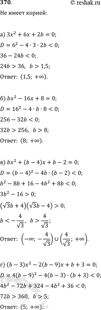
Упр.370 ГДЗ Макарычев Миндюк 9 класс (Углубленный) (Алгебра)
Решение #1

Рассмотрим вариант решения задания из учебника Макарычев, Миндюк, Нешков 9 класс, Просвещение:
370. При каких значениях параметра b уравнение не имеет корней:
а) 3x^2+6x+2b=0; в) bx^2+(b-4)x+b-2=0;
б) bx^2-16x+8=0; г) (b-3)x^2-2(b-9)x+b+3=0?
*размещая тексты в комментариях ниже, вы автоматически соглашаетесь с пользовательским соглашением