Упр.370 ГДЗ Колягин Ткачёва 8 класс (Алгебра)
Решение #1

Рассмотрим вариант решения задания из учебника Колягин, Ткачёва, Фёдорова 8 класс, Просвещение:
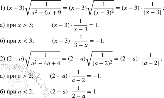
370. Упростить выражение:
1) (x-3) v(1/(x^2-6x+9)) при: а) x>3; б) x<3;
2) (2-a) v(1/(a^2-4a+4)) при: а) a>2; б) a<2.
*размещая тексты в комментариях ниже, вы автоматически соглашаетесь с пользовательским соглашением