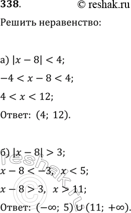
Упр.338 ГДЗ Макарычев Миндюк 9 класс (Углубленный) (Алгебра)
Решение #1

Рассмотрим вариант решения задания из учебника Макарычев, Миндюк, Нешков 9 класс, Просвещение:
338. Найдите, при каких значениях x расстояние между точками A(x) и B(8):
а) меньше 4; б) больше 3.
*размещая тексты в комментариях ниже, вы автоматически соглашаетесь с пользовательским соглашением