Упр.324 ГДЗ Никольский Потапов 9 класс (Алгебра)

Решение #1

Изображение 324.а) корень третьей степени из (корень третьей степени из а);б) корень третьей степени из (корень четвертой степени из b);в) корень третьей степени из (корень...

Решение #2

Изображение 324.а) корень третьей степени из (корень третьей степени из а);б) корень третьей степени из (корень четвертой степени из b);в) корень третьей степени из (корень...

Рассмотрим вариант решения задания из учебника Никольский, Потапов 9 класс, Просвещение:
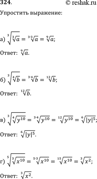
324.
а) корень третьей степени из (корень третьей степени из а);
б) корень третьей степени из (корень четвертой степени из b);
в) корень третьей степени из (корень четвертой степени из y^10);
г) корень пятой степени из (корень третьей степени из х^10).
*Цитирирование задания со ссылкой на учебник производится исключительно в учебных целях для лучшего понимания разбора решения задания.
*размещая тексты в комментариях ниже, вы автоматически соглашаетесь с пользовательским соглашением