Упр.31 ГДЗ Дорофеев Шарыгин 6 класс (Математика)
Решение #1

Рассмотрим вариант решения задания из учебника Дорофеев, Шарыгин, Суворова 6 класс, Просвещение:
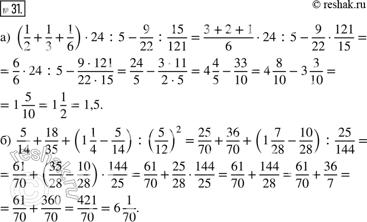
31. Найдите значение выражения:
а) (1/2 + 1/3 + 1/6) * 24 : 5 - 9/22 : 15/121;
б) 5/14 + 18/35 + (1 1/4 - 5/14) : (5/12)2.
*размещая тексты в комментариях ниже, вы автоматически соглашаетесь с пользовательским соглашением