Упр.302 ГДЗ Дорофеев Суворова 8 класс (Алгебра)
Решение #1

Рассмотрим вариант решения задания из учебника Дорофеев, Суворова, Бунимович 8 класс, Просвещение:
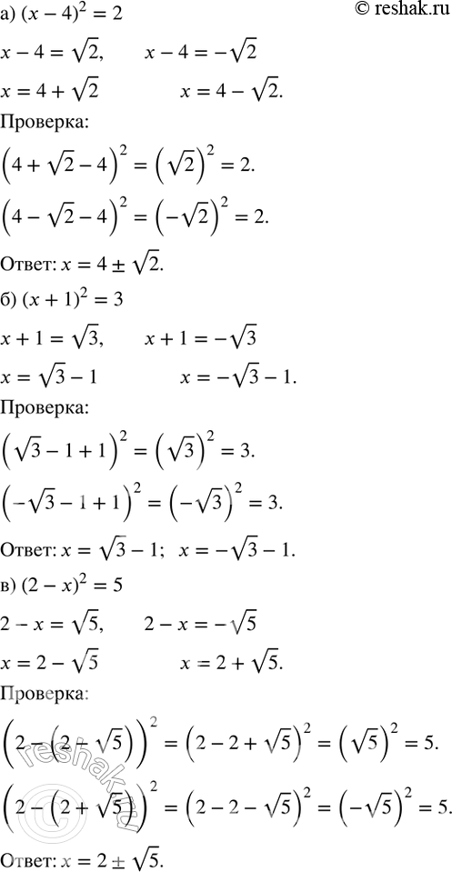
302. Найдите корни уравнения и сделайте проверку, подставив их в уравнение:
а) (x-4)^2=2;
б) (x+1)^2=3;
в) (2-x)^2=5.
*размещая тексты в комментариях ниже, вы автоматически соглашаетесь с пользовательским соглашением