Упр.3 ГДЗ Мерзляк 8 класс (Алгебра)
Решение #1
Решение #2
Решение #3

Рассмотрим вариант решения задания из учебника Мерзляк, Полонская, Якир 8 класс, Вентана-Граф:
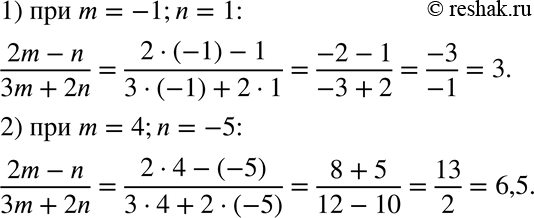
3. Найдите значение выражения (2m-n)/(3m+2n), если:
1) m=-1, n=1;
2) m=4, n=-5.
*размещая тексты в комментариях ниже, вы автоматически соглашаетесь с пользовательским соглашением