Упр.291 ГДЗ Макарычев Миндюк 9 класс (Углубленный) (Алгебра)
Решение #1

Рассмотрим вариант решения задания из учебника Макарычев, Миндюк, Нешков 9 класс, Просвещение:
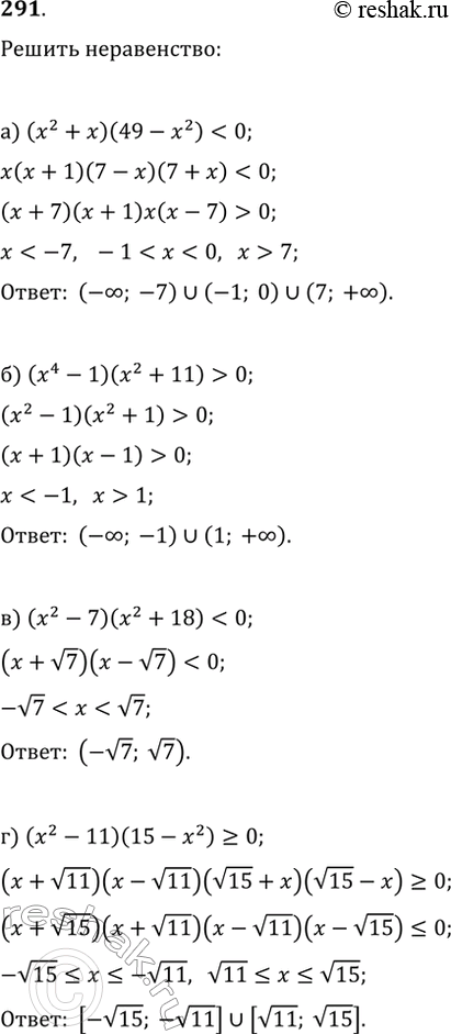
291. Решите неравенство:
а) (x^2+x)(49-x^2)<0; д) (x^3-3x^2)(x^2+7)?0;
б) (x^4-1)(x^2+11)>0; е) (x^2-6x+5)(x+8)>0;
в) (x^2-7)(x^2+18)<0; ж) (x^2-x+11)(4-x)?0;
г) (x^2-11)(15-x^2)?0; з) (x^2-9)(x^2+2x+14)>0.
*размещая тексты в комментариях ниже, вы автоматически соглашаетесь с пользовательским соглашением