Упр.284 ГДЗ Мерзляк 8 класс (Алгебра)
Решение #1
Решение #2
Решение #3

Рассмотрим вариант решения задания из учебника Мерзляк, Полонская, Якир 8 класс, Вентана-Граф:
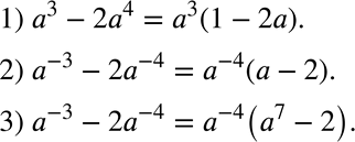
284. Вынесите за скобки степень с основанием а и наименьшим из данных показателей:
1) а3 - 2а4;
2) а^-3 - 2а^-4;
3) а3 - 2а^-4.
*размещая тексты в комментариях ниже, вы автоматически соглашаетесь с пользовательским соглашением