Упр.259 ГДЗ Колягин Ткачёва 8 класс (Алгебра)
Решение #1

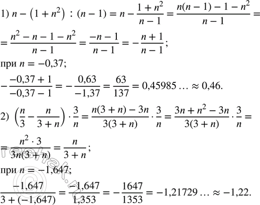
Рассмотрим вариант решения задания из учебника Колягин, Ткачёва, Фёдорова 8 класс, Просвещение:
259. Упростить выражение и найти его числовое значение с точностью до 0,01:
1) n-(1+n^2 ) :(n-1) при n=-0,37;
2) (n/3-n/(3+n))•3/n при n=-1,647.
*размещая тексты в комментариях ниже, вы автоматически соглашаетесь с пользовательским соглашением