Упр.239 ГДЗ Мерзляк 8 класс (Алгебра)
Решение #1
Решение #2
Решение #3

Рассмотрим вариант решения задания из учебника Мерзляк, Полонская, Якир 8 класс, Вентана-Граф:
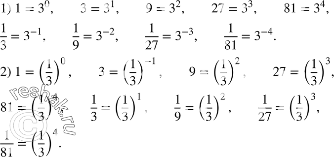
239. Представьте числа 1, 3, 9, 27, 81, 1/3, 1/9, 1/27, 1/81 в виде степени с основанием:
1) 3;
2) 1/3.
*размещая тексты в комментариях ниже, вы автоматически соглашаетесь с пользовательским соглашением