Упр.231 ГДЗ Зубарева Мордкович 6 класс ФГОС (Математика)
Решение #1

Рассмотрим вариант решения задания из учебника Зубарева, Мордкович 6 класс, Мнемозина:
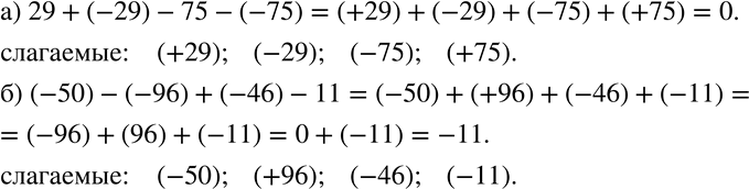
231. Назовите слагаемые алгебраической суммы, запишите выражение без скобок и найдите его значение:
а) 29+(-29)-75-(-75);
б) (-50)-(-96)+(-46)-11.
*размещая тексты в комментариях ниже, вы автоматически соглашаетесь с пользовательским соглашением