Упр.220 ГДЗ Никольский Потапов 9 класс (Алгебра)

Решение #1

Изображение 220. Вычислите значения функции у = x^3, взяв х от -1 до 1 через 0,2. Решение оформите в виде...

Решение #2

Изображение 220. Вычислите значения функции у = x^3, взяв х от -1 до 1 через 0,2. Решение оформите в виде...

Рассмотрим вариант решения задания из учебника Никольский, Потапов 9 класс, Просвещение:
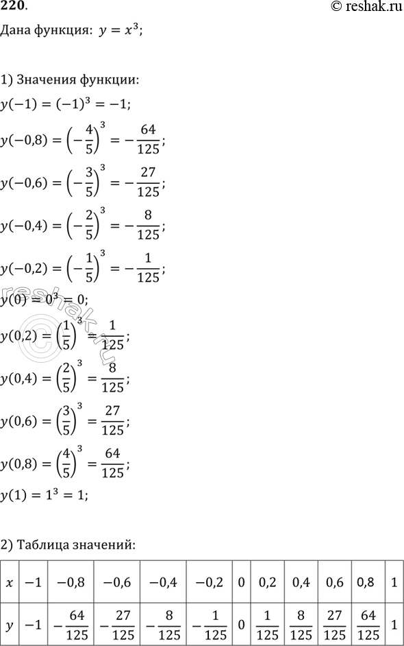
220. Вычислите значения функции у = x^3, взяв х от -1 до 1 через 0,2. Решение оформите в виде таблицы.
*Цитирирование задания со ссылкой на учебник производится исключительно в учебных целях для лучшего понимания разбора решения задания.
*размещая тексты в комментариях ниже, вы автоматически соглашаетесь с пользовательским соглашением