Упр.218 ГДЗ Никольский Потапов 9 класс (Алгебра)

Решение #1

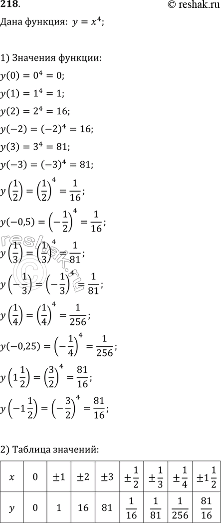
Изображение 218. Дана функция у = х^4. Заполните таблицу значений функции при х, равном 0; 1; -1; 2; -2; 3; -3; 1/2, -0,5; 1/3; 1/4; -0,25; 1 1/2; -1...

Решение #2

Изображение 218. Дана функция у = х^4. Заполните таблицу значений функции при х, равном 0; 1; -1; 2; -2; 3; -3; 1/2, -0,5; 1/3; 1/4; -0,25; 1 1/2; -1...

Рассмотрим вариант решения задания из учебника Никольский, Потапов 9 класс, Просвещение:
218. Дана функция у = х^4. Заполните таблицу значений функции при х, равном 0; 1; -1; 2; -2; 3; -3; 1/2, -0,5; 1/3; 1/4; -0,25; 1 1/2; -1 1/2.
*Цитирирование задания со ссылкой на учебник производится исключительно в учебных целях для лучшего понимания разбора решения задания.
*размещая тексты в комментариях ниже, вы автоматически соглашаетесь с пользовательским соглашением