Упр.2.27 ГДЗ Никольский Потапов 11 класс (Алгебра)
Решение #1

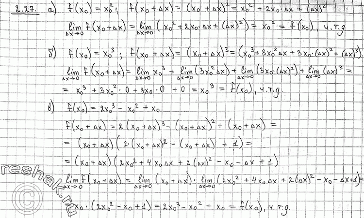
Рассмотрим вариант решения задания из учебника Никольский, Потапов 11 класс, Просвещение:
2.27 Докажите, что в любой точке х0 принадлежит R непрерывна функция:
а) у = х2; б) у = x3; в) у = 2x3 - х2 + х.
*размещая тексты в комментариях ниже, вы автоматически соглашаетесь с пользовательским соглашением