Упр.181 ГДЗ Дорофеев Суворова 9 класс (Алгебра)
Решение #1

Рассмотрим вариант решения задания из учебника Дорофеев, Суворова, Бунимович 9 класс, Просвещение:
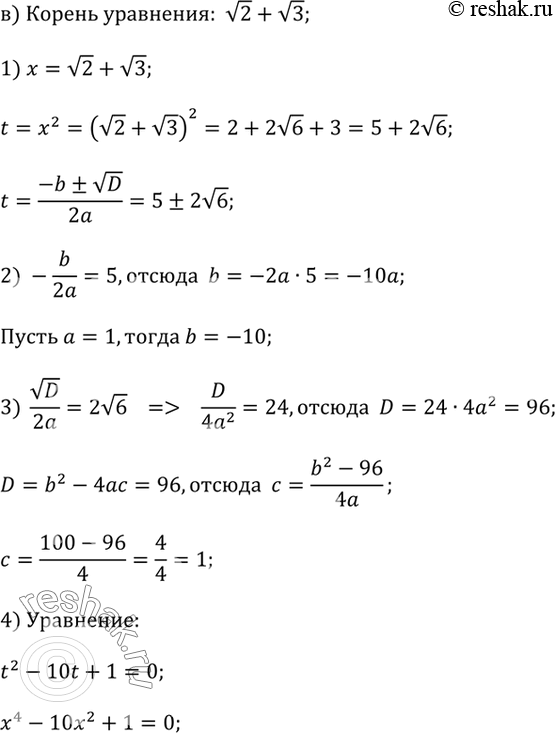
181. Составьте какое-нибудь уравнение с рациональными коэффициентами, одним из корней которого является число:
а) 2v3; б) 2 + v3; в) v2 + v3.
*размещая тексты в комментариях ниже, вы автоматически соглашаетесь с пользовательским соглашением