Упр.172 ГДЗ Никольский Потапов 9 класс (Алгебра)

Решение #1

Изображение 172.а) (x^2-4x+3)/(x^2-9)>=0б) (x^2-7x+10)/(25-x^2 )>=0в) 1-x>= 1/(x-3)  г)...
Дополнительное изображение

Решение #2

Изображение 172.а) (x^2-4x+3)/(x^2-9)>=0б) (x^2-7x+10)/(25-x^2 )>=0в) 1-x>= 1/(x-3)  г)...
Дополнительное изображение

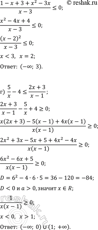
Рассмотрим вариант решения задания из учебника Никольский, Потапов 9 класс, Просвещение:
172.
а) (x^2-4x+3)/(x^2-9)>=0
б) (x^2-7x+10)/(25-x^2 )>=0
в) 1-x>= 1/(x-3)
г) 5/x-4<= (2x+3)/(x-1)
*Цитирирование задания со ссылкой на учебник производится исключительно в учебных целях для лучшего понимания разбора решения задания.
*размещая тексты в комментариях ниже, вы автоматически соглашаетесь с пользовательским соглашением