Упр.16.27 ГДЗ Мерзляк Поляков 9 класс (Алгебра)
Решение #1

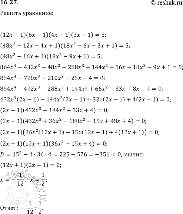
Рассмотрим вариант решения задания из учебника Мерзляк, Поляков 9 класс, Вентана-Граф:
16.27. Решите уравнение (12x-1)(6x-1)(4x-1)(3x-1)=5.
*размещая тексты в комментариях ниже, вы автоматически соглашаетесь с пользовательским соглашением