Упр.16 ГДЗ Колягин Ткачёва 8 класс (Алгебра)
Решение #1

Рассмотрим вариант решения задания из учебника Колягин, Ткачёва, Фёдорова 8 класс, Просвещение:
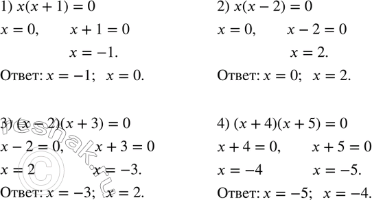
16. Решить уравнение:
1) x(x+1)=0;
2) x(x-2)=0;
3) (x-2)(x+3)=0;
4) (x+4)(x+5)=0.
*размещая тексты в комментариях ниже, вы автоматически соглашаетесь с пользовательским соглашением