Упр.151 ГДЗ Макарычев Миндюк 9 класс (Углубленный) (Алгебра)
Решение #1

Рассмотрим вариант решения задания из учебника Макарычев, Миндюк, Нешков 9 класс, Просвещение:
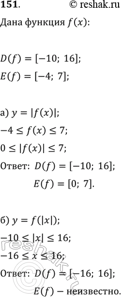
151. Область определения функции y=f(x) — промежуток [—10; 16], а область её значений — промежуток [—4; 7]. Найдите область определения и область значений функции: а) y=|f(x)|; б) y=f(|x|).
*размещая тексты в комментариях ниже, вы автоматически соглашаетесь с пользовательским соглашением