Упр.141 ГДЗ Колягин Ткачёва 8 класс (Алгебра)
Решение #1

Рассмотрим вариант решения задания из учебника Колягин, Ткачёва, Фёдорова 8 класс, Просвещение:
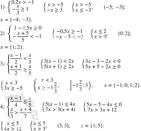
141. Найти все целые числа, являющиеся решениями системы неравенств:
1) {(0,2x>-1
-x/3?1)+
2) {(1-0,5x?0
-(x+5)/5<-1)+
3) {((x-1)/2
(x+1)/2?x/5)+
4) {((x-1)/4?x/5
x/3>(x+4)/7)+
*размещая тексты в комментариях ниже, вы автоматически соглашаетесь с пользовательским соглашением