Упр.140 ГДЗ Колягин Ткачёва 9 класс (Алгебра)
Решение #1

Рассмотрим вариант решения задания из учебника Колягин, Ткачёва, Фёдорова 9 класс, Просвещение:
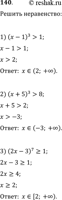
140. Решить неравенство:
1) (x-1)^3>1; 2) (x+5)^3>8; 3) (2x-3)^7?1;
4) (3x-5)^7<1; 5) (3-x)^4>256; 6) (4-x)^4>81.
*размещая тексты в комментариях ниже, вы автоматически соглашаетесь с пользовательским соглашением