Задание 5 Параграф 14 ГДЗ Рабочая тетрадь 1 Мерзляк Полонский 7 класс (Алгебра)
Решение #1

Рассмотрим вариант решения задания из учебника Мерзляк, Полонская, Якир 7 класс, Вентана-Граф:
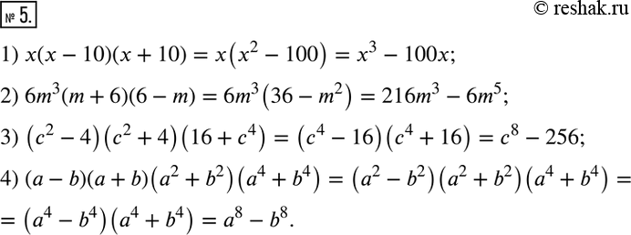
5. Представьте в виде многочлена выражение:
1) x(x-10)(x+10);
2) 6m^3 (m+6)(6-m);
3) (c^2-4)(c^2+4)(16+c^4 );
4) (a-b)(a+b)(a^2+b^2 )(a^4+b^4 ).
*размещая тексты в комментариях ниже, вы автоматически соглашаетесь с пользовательским соглашением