Упр.123 ГДЗ Мерзляк 8 класс (Алгебра)
Решение #1
Решение #2

Рассмотрим вариант решения задания из учебника Мерзляк, Полонская, Якир 8 класс, Вентана-Граф:
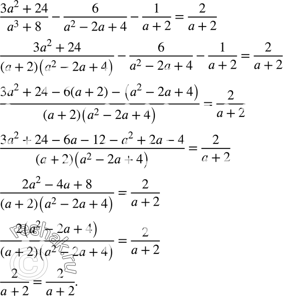
123. Докажите тождество:
(3a2+24)/(a3+8) - 6/(a2-2a+4) - 1/(a+2) = 2/(a+2).
*размещая тексты в комментариях ниже, вы автоматически соглашаетесь с пользовательским соглашением