Упр.118 ГДЗ Дорофеев Суворова 9 класс (Алгебра)
Решение #1

Рассмотрим вариант решения задания из учебника Дорофеев, Суворова, Бунимович 9 класс, Просвещение:
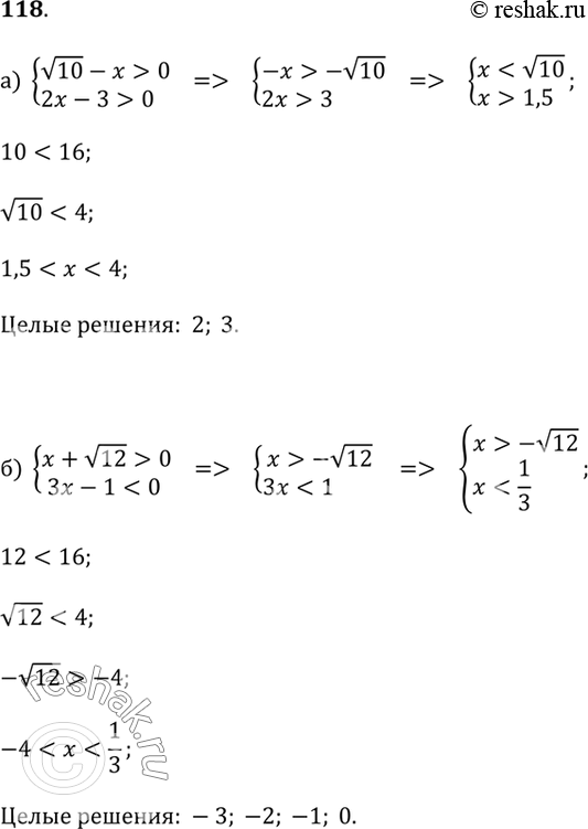
118. Найдите целые решения системы неравенств:
а) Система v10-x>0 и 2x-3>0;
б) Система x+v12>0 и 3x-1<0;
в) Система v2+2x<0 и 3x+10>0;
*размещая тексты в комментариях ниже, вы автоматически соглашаетесь с пользовательским соглашением