Упр.115 ГДЗ Колягин Ткачёва 8 класс (Алгебра)
Решение #1

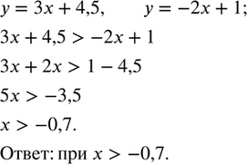
Рассмотрим вариант решения задания из учебника Колягин, Ткачёва, Фёдорова 8 класс, Просвещение:
115. При каких значениях x точки рафика функции y=3x+4,5 лежат выше точек графика функции y=-2x+1?
*размещая тексты в комментариях ниже, вы автоматически соглашаетесь с пользовательским соглашением