Упр.10.9 ГДЗ Мордкович Семенов 7 класс (Алгебра)
Решение #1

Рассмотрим вариант решения задания из учебника Мордкович, Семенов, Александрова 7 класс, Бином:
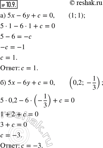
10.9. В уравнении 5x — 6у + с = О найдите коэффициент с, если известно, что решением уравнения является пара чисел:
а) (1; 1); б) (0,2; -1/3).
*размещая тексты в комментариях ниже, вы автоматически соглашаетесь с пользовательским соглашением