Упр.10 ГДЗ Колягин Ткачёва 9 класс (Алгебра)
Решение #1

Рассмотрим вариант решения задания из учебника Колягин, Ткачёва, Фёдорова 9 класс, Просвещение:
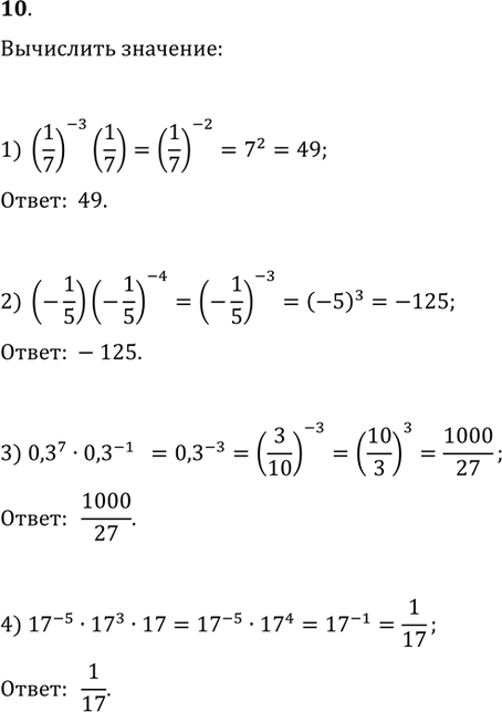
10. Вычислить:
1) (1/7)^(-3)(1/7); 2) (-1/5)(-1/5)^(-4);
3) 0,3^7·0,3(-10); 4) 17^(-5)·17^3·17.
*размещая тексты в комментариях ниже, вы автоматически соглашаетесь с пользовательским соглашением